Abstract
Background
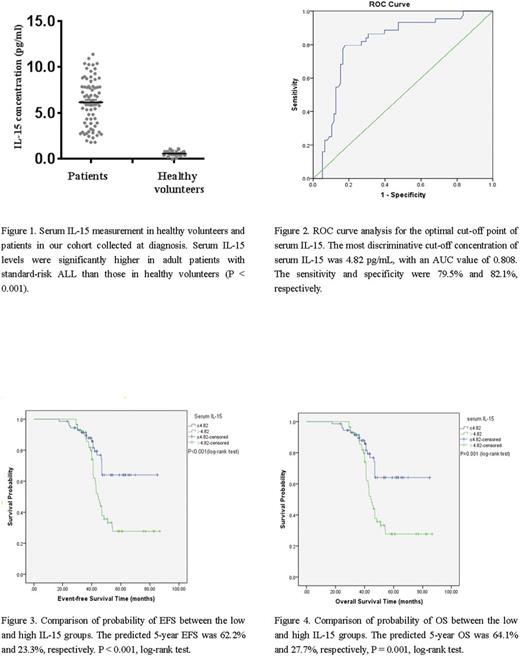
Interleukin-15 (IL-15) is a proinflammatory cytokine involved in the proliferation, survival and activation of acute lymphoblastic leukaemia (ALL). However, the prognostic significance of serum IL-15 level in adult patients with standard-risk ALL has not been well established.
Methods
Serum IL-15 level was measured using enzyme-linked immunosorbent assay in 130 adult patients diagnosed with standard-risk ALL.
Results
The optimal cut-off value for IL-15 in predicting patient survival is 4.82 pg/mL, with an area under the curve value of 0.808 (P < 0.001). The early complete response (CR) on day 14 in in low IL-15 group is 65.3%, which is significantly higher than that in high IL-15 group (39.7%, P= 0.003). Patients in the low IL-15 group exhibited significantly higher survival rate compared with those in the high IL-15 group [5-year event-free survival (EFS) rate: 62.2% vs. 23.3%, P < 0.001; 5-year overall survival (OS) rate: 64.1% vs. 27.7 %, P= 0.001]. Multivariate analysis revealed that serum IL-15 level > 4.82 pg/mL, late CR and older age are adverse factors for EFS and OS.
Conclusions
Serum IL-15 level at diagnosis is a novel, effective predictor of prognosis in adults with standard-risk ALL.
No relevant conflicts of interest to declare.
Author notes
Asterisk with author names denotes non-ASH members.
